こんにちはゲストさん    

 

 

 

 

 

 

 

 

 

 

 

 

 

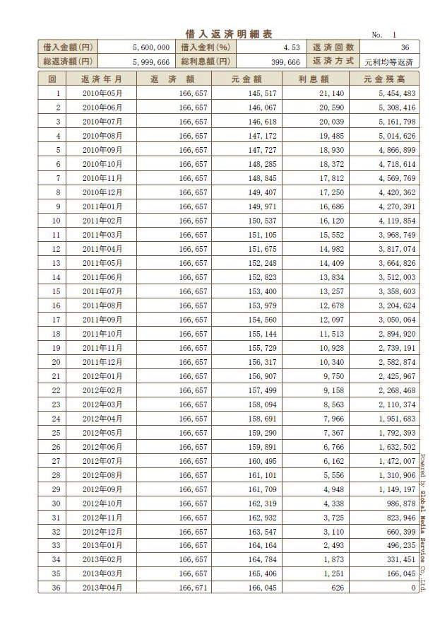
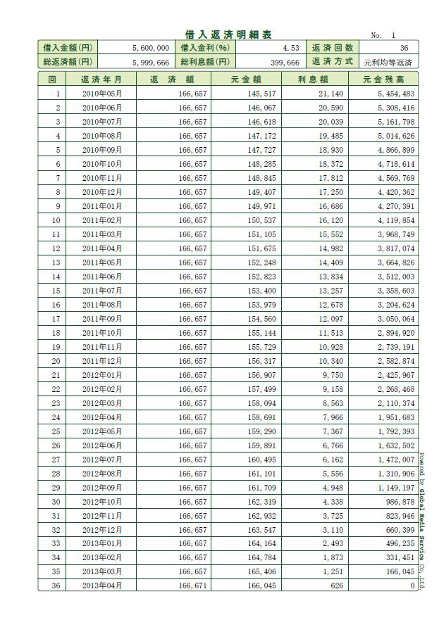
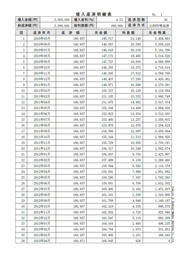
借入金返済シミュレーション・・・元利均等方式D

元利均等方式での返済時のローンシミュレーションを行う事が出来ます。
返済予定表がPDF形式で印刷出来ますので、必用に応じてご利用下さい。 また、最大で600ヶ月のシミュレーションが可能ですので、住宅ローンなどの長期借り入れのシミュレーションなどにもお使い下さい。

意見を書込む
評価(平均:2.9 投票数:17)
借入金返済シミュレーション・・・元利均等方式C

元利均等方式での返済時のローンシミュレーションを行う事が出来ます。
返済予定表がPDF形式で印刷出来ますので、必用に応じてご利用下さい。 また、最大で600ヶ月のシミュレーションが可能ですので、住宅ローンなどの長期借り入れのシミュレーションなどにもお使い下さい。

意見を書込む
評価(平均:3.4 投票数:19)
借入金返済シミュレーション・・・元利均等方式B

元利均等方式での返済時のローンシミュレーションを行う事が出来ます。
返済予定表がPDF形式で印刷出来ますので、必用に応じてご利用下さい。 また、最大で600ヶ月のシミュレーションが可能ですので、住宅ローンなどの長期借り入れのシミュレーションなどにもお使い下さい。

意見を書込む
評価(平均:3.1 投票数:10)
借入金返済シミュレーション・・・元利均等方式A

元利均等方式での返済時のローンシミュレーションを行う事が出来ます。
返済予定表がPDF形式で印刷出来ますので、必用に応じてご利用下さい。 また、最大で600ヶ月のシミュレーションが可能ですので、住宅ローンなどの長期借り入れのシミュレーションなどにもお使い下さい。

意見を書込む
評価(平均:3.1 投票数:7)
借入金返済シミュレーション・・・元金均等方式D

元金均等方式での返済時のローンシミュレーションを行う事が出来ます。
PDF形式で返済予定表が印刷出来ますので、必用に応じてご利用下さい。 また、最大で600ヶ月のシミュレーションが可能ですので、住宅ローンなどの長期借り入れのシミュレーションなどにもお使い下さい。

意見を書込む
評価(平均:3.4 投票数:9)
借入金返済シミュレーション・・・元金均等方式C

元金均等方式での返済時のローンシミュレーションを行う事が出来ます。
PDF形式で返済予定表が印刷出来ますので、必用に応じてご利用下さい。 また、最大で600ヶ月のシミュレーションが可能ですので、住宅ローンなどの長期借り入れのシミュレーションなどにもお使い下さい。

意見を書込む
評価(平均:3.4 投票数:8)
借入金返済シミュレーション・・・元金均等方式B

元金均等方式での返済時のローンシミュレーションを行う事が出来ます。
PDF形式で返済予定表が印刷出来ますので、必用に応じてご利用下さい。 また、最大で600ヶ月のシミュレーションが可能ですので、住宅ローンなどの長期借り入れのシミュレーションなどにもお使い下さい。

意見を書込む
評価(平均:2.7 投票数:7)
借入金返済シミュレーション・・・元金均等方式A

元金均等方式での返済時のローンシミュレーションを行う事が出来ます。
PDF形式で返済予定表が印刷出来ますので、必用に応じてご利用下さい。 また、最大で600ヶ月のシミュレーションが可能ですので、住宅ローンなどの長期借り入れのシミュレーションなどにもお使い下さい。

意見を書込む
評価(平均:1.0 投票数:3)
■ 1〜8件 全8件中